9月26日,北京大学新农村发展研究院联合阿里研究院,在第八届中国淘宝村高峰论坛“县域数字化”主论坛上发布《县域数字乡村指数(2018)》。该报告突破已有的以城市或者地区为主要评价对象的数字经济指数评价模式,以县域为基本单元,全面梳理乡村基础设施、乡村经济、乡村生活、乡村治理等方面的数字化内容及具体表征,兼顾生产者和消费者角度选取具体的表征指标,并充分考虑当前乡村发展中新出现的数字化现象,系统构建了县域数字乡村指标体系。在此基础上,该报告汇集国家宏观统计数据、行业数据和互联网大数据,全面评估了我国数字乡村发展水平,针对发展短板和制约因素,提出推进县域数字乡村建设的政策优化路径。
该报告的编制,有助于为国内外相关领域学者深化数字乡村指标体系构建、进展评估及特征分析等方面的研究奠定重要基础,为政策制定者和相关产业领域的从业人员全面了解中国县域数字乡村的发展现状提供重要参考,同时也为其他发展中国家和地区因地制宜地推进数字乡村建设提供有益借鉴。
什么是数字乡村
该报告定义数字乡村为以物联网、云计算、大数据和移动互联等新兴信息技术为依托,促进数字化与农业农村农民的生产和生活各领域全面深度融合,以乡村经济社会数字化转型助推乡村振兴的创新发展新形态。该报告指出,数字乡村的全面发展依赖于乡村现代化经济体系、社会治理体系和经济发展支撑政策体系。该报告聚焦县域数字乡村发展水平评估,认为以县域为基本单元推进数字乡村建设既具有经济、政治、文化、社会、生态五位一体的整体性优势,也具有直接触达基层、高效获取细致和全面信息的便捷优势。
如何测度数字乡村指数
基于国家战略和社会发展对数字乡村建设的需求,综合考虑数字化发展的广度和深度,兼顾指标选取的代表性与数据的可获取性,该报告从乡村数字基础设施、乡村经济数字化、乡村治理数字化、乡村生活数字化四个方面具体界定了数字乡村内涵和外延。报告强调,乡村数字基础设施是数字乡村建设的重要支撑;乡村经济数字化是数字乡村的核心,亦是驱动乡村经济高质量发展、实现包容性增长和可持续增长的新动能;乡村治理数字化是推进乡村治理手段现代化、提高乡村基层治理能力的重要途径,亦是建设数字政府、全面实现乡村数字化转型的重要保障;乡村生活数字化是建设数字乡村的根本宗旨。
该报告的课题组通过邀请农业经济管理、农业信息化、农业产业政策、农村组织与制度、农村电商、数字金融等领域的专家对指标体系进行权重赋值,综合采用国家宏观统计数据、行业数据和互联网大数据,并基于数据可得性,对2018年数字乡村发展现状进行了全面评估。
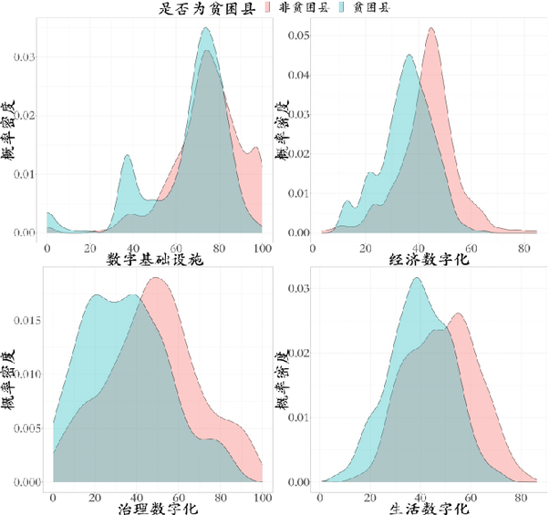
县域数字乡村发展现状如何
我国县域数字乡村建设处于起步阶段。全国参评县县域数字乡村指数平均值为50。其中,处于高水平(≥80)、较高水平(60~80)、中等水平(40~60)、较低水平(20~40)和低水平阶段(
(一)代表县域数字乡村发展较高水平的百强县呈现“一强多元”的区域分布格局,接近一半省份有至少一个县入围百强县。百强县在东部、中部、西部和东北地区的分布比例分别为70%、24%、5%和1%。入选百强县数量最多的前五个省份为浙江省(39)、河南省(14)、江苏省(10)、福建省(9)和河北省(8)。县域数字乡村百强县和后100县的数字乡村发展水平存在较大差距,且差距排序为:乡村治理数字化(81:11)>乡村数字基础设施(93:24)>乡村经济数字化(60:17)>乡村生活数字化(69:23)。

(二)县域数字乡村发展水平南北差异不大,但存在明显的东西差异,呈现“东部发展较快、中部次之、东北和西部发展滞后”的现象。具体表现为:南方和北方地区县域数字乡村指数平均值分别为54和47,差异较小。东部地区发展水平最高(总指数均值为59),中部地区(57)接近东部地区,但西部地区(42)及东北地区(44)和东部地区差异较大。
(三)县域乡村数字基础设施发展水平相对较高,乡村经济数字化和乡村治理数字化发展相对较慢。县域乡村数字基础设施指数(均值为71)整体进入较高水平发展阶段,而乡村生活数字化指数(45)、乡村治理数字化指数(43)和乡村经济数字化指数(40)均刚跨过中等发展水平门槛。无论东部、中部、西部、东北,还是北方、南方的单一地理分区内,相较于乡村数字基础设施和乡村生活数字化,乡村经济数字化和乡村治理数字化的发展均相对滞后。
(四)县域乡村数字基础设施、乡村经济数字化、乡村生活数字化的区域差异相对较小,乡村治理数字化的区域差异较大。东部、中部、西部和东北地区的县域乡村生活数字化指数(56:53:36:40)、乡村经济数字化指数(49:45:33:40)和乡村数字基础设施指数(79:79:64:62)的极值比分别为1.6、1.5和1.3,差距较小,而乡村治理数字化指数(55:51:34:27)的极值比为2.0,差距较大。
(五)贫困县与非贫困县数字乡村发展水平的差距小于两者农村居民可支配收入的差距。数字基础设施为贫困县数字乡村发展带来“换道超车”的机会,但贫困县数字乡村总体发展水平仍然较低。贫困县数字乡村指数位于40分位及以上的县域比例(42%)明显高于农村居民可支配收入处于40分位及以上的县域比例(33%)。非贫困县和贫困县在数字乡村指数位于40分位及以上的县域占比之比(73%:42%),低于两者农村居民可支配收入处于40分位及以上的县域占比之比(79%:33%)。贫困县和非贫困县在乡村数字基础设施指数(66:75)、乡村生活数字化指数(40:49)和乡村经济数字化指数(36:44)方面差距较小,但在乡村治理数字化(35:48)方面差异较大。

如何推进数字乡村建设
基于上述研究发现,报告提出以下政策建议:一是需从完善体制机制设计、推进《数字农业农村发展规划》实施等层面加大县域数字乡村发展的支持力度,提高县域数字乡村发展速度。二是完善县域数字基础设施建设的同时,也需着重提高县域乡村治理数字化和乡村经济数字化水平,补齐县域数字乡村发展的短板、实现数字乡村不同领域的协同发展。三是注重区域均衡发展,在促进东部地区县域数字乡村发展的同时,也应协调促进中部、东北和西部地区县域数字乡村的发展。四是相对贫困地区需充分利用数字基础设施发展带来的红利机会,加大对区域数字技术与乡村治理、乡村优势产业融合发展的政策倾斜,以取得机会实现“换道超车”。